生徒の皆さんへお知らせ

  文部科学大臣よりメッセージがあります。下のURLからご覧下さい。  https://www.mext.go.jp/a_menu/shotou/seitoshidou/mext_00003.html

調べる学習の手引き(野々市市教委)

調べる学習について、案内します。

令和2年調べる学習コンクール案内.pdf 

令和1年度調べ学習(作品紹介).pdf

調べる学習のまとめ方.pdf

 休業中の期間は、図書館を使った活動はできませんが、教科書やインターネット、新聞や書籍を使った調べ学習にチャレンジしましょう。 

 

課題については、4月22日~24日に配付した学年だよりで確認してください。おたよりコーナーの学年だよりに掲載してあります。

 

参考になるサイトを紹介します。

国語(光村図書)

■前学年の3月の学習の朗読視聴

■4・5月の学習の予習

②算数・数学(東京書籍)

算数「うでだめシート」活用問題集(小学校)

数学「レッツプラクティス」評価問題集(中学校) 

中学校外国語(東京書籍)

■NEW HORIZON English Course リスニングCD 部分サンプル

② 文部科学省「子供の学び応援サイト」

③ 県教育委員会「学びの支援広場」

学習だより

チェックした項目を
名前 サイズ 更新日
1年学習だより - | 2020-04-10 16:24:44 - 2020-04-10 16:24:44
2年学習だより - | 2020-04-10 16:25:09 - 2020-04-10 16:25:09
3年学習だより - | 2020-04-10 16:25:32 - 2020-04-10 16:25:32
チェックした項目を

教科(道徳)

チェックした項目を
名前 サイズ 更新日
教科 - | 2019-04-28 15:36:25 - 2019-04-28 15:36:25
道徳 - | 2019-04-28 15:36:47 - 2019-04-28 15:36:47
チェックした項目を

ラインズeライブラリー

ラインズeライブラリアドバンス【家庭学習サービス】について

  毎日の授業は、各教科で求められる思考力・判断力・表現力等を高める大切な時間です。
その前提となる知識及び技能を定着させるためには、日々の家庭学習の時間を確保し、
反復学習に取り組む必要があります。
 その手段のひとつとして、本校のパソコン教室に導入済みであるドリル問題を中心とした
学習ソフトを、各ご家庭でも利用することができます。
  なお機器については、保護者の目が届く場所での利用環境を推奨いたします。

サービスの概要
◇自宅のパソコン等から利用できます。
◇在籍学年にかかわらず、小学校1年生から中学校3年生までの約5万7千問の
  ドリル問題に取り組むことができます。
◇公立高校の入試問題(過去問)にも、一部対応しています。

  アクセス方法などは、こちら→家庭学習サービス(案内文書).pdf
(留意点)
 家庭学習では、授業の予習、復習(自学ノートなど)を主として取り組ませて下さい。
 その上で、弱点補強や発展的な学習のために本教材を活用して下さい。

図書館蔵書一覧

図書館にある図書の一覧を掲載します。本を探すときに、図書館司書に尋ねることやこの一覧を元に探して「貸出申し込みカード」を提出して準備してもらうこともできます。また、朝読書、教科での学習、総合的な学習等での本選びにも活用してください。

20貸出申し込みカードをクリック、印刷してください。

0分類(総記).pdf

1分類(哲学・心理学・宗教).pdf

2分類(歴史・地理).pdf

3分類(社会).pdf

4分類(自然科学・医学).pdf

5分類(技術・家庭).pdf

6分類(産業).pdf

7分類(芸術・体育).pdf

8分類(ことば).pdf

アンソロジー.pdf

海外の文学①.pdf

海外の文学②.pdf

詩歌・エッセイ.pdf

日本の文学(改).pdf

絵本.pdf

 

学びの支援広場(石川県教委)

臨時休業中の4月から5月にかけての学ぶ内容に関した動画などを紹介します(石川県教育委員会作成「学びの支援広場」)。また、動画を紹介できないところには、教科書を使って学習するときの手がかりが書いてあります。教科書と資料集やプリントなどと共に、自宅での学習に活用してください。

  ↓ここをクリックして下さい。

「新しい教科書を使って勉強してみよう!中学生」

<使っている教科書>

国語・・国語1、2、3(光村図書)

社会・・新しい社会 地理、歴史、公民(東書書籍)

数学・・新しい数学1、2、3(東書書籍)

理科・・新しい科学1,2,3(東書書籍)

英語・・New Horizon1、2,3(東京書籍)

 

(例)中3,国語の例

(例)中1、数学

 

学びの支援サイト(文部科学省)

文部科学省より、臨時休業期間における学習支援コンテンツポータルサイト(子供の学び応援サイト)が開設されました。

子どもの学び応援サイトは、こちらへ

応援サイト(中学生用)は、こちらへ

  

#学びを止めない未来の教室

NHK for school

野っ中チャンネル

動画:学校から生徒の皆さんへ
いいね
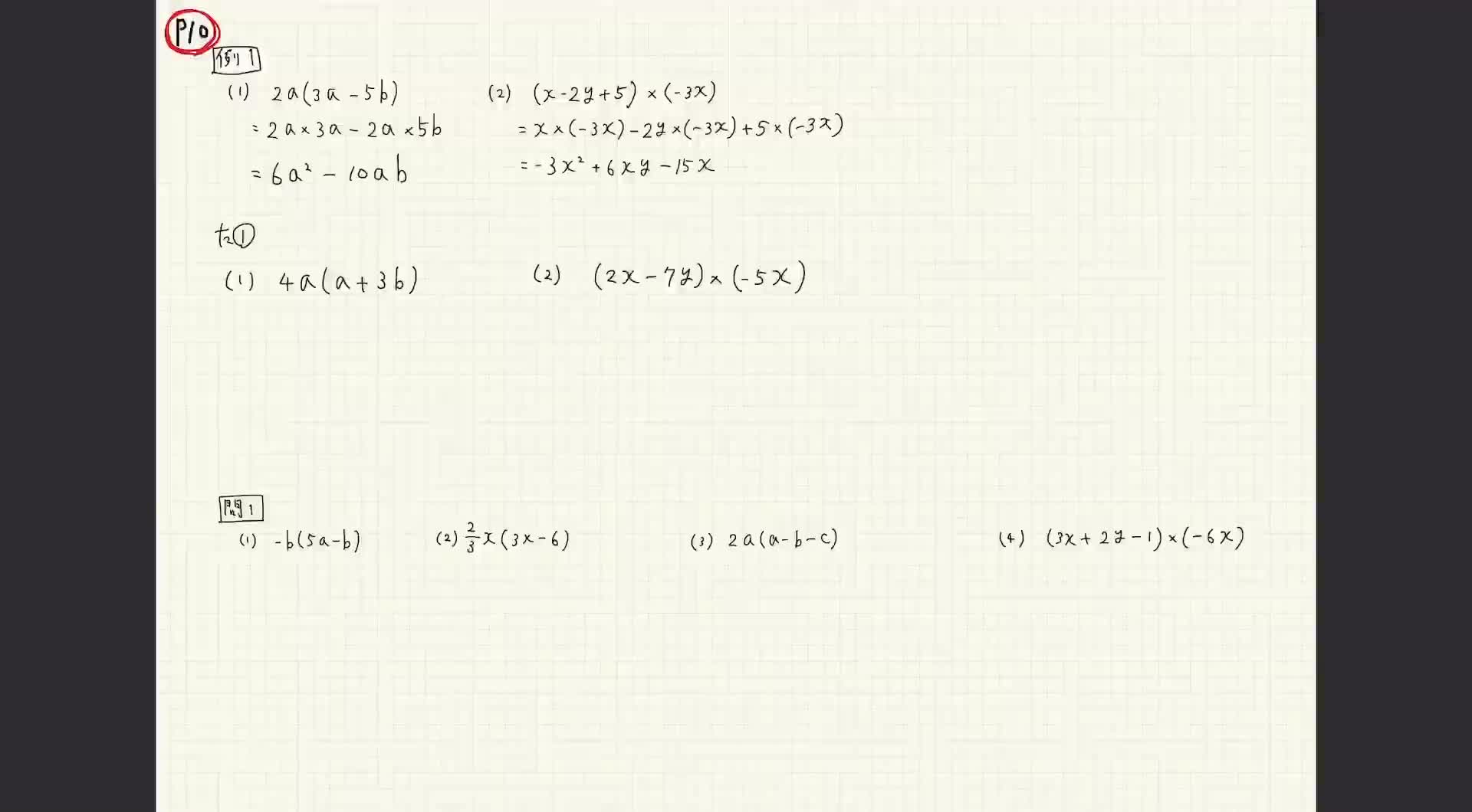
dd4c8b2a2587f593369007c4dcc031d1 3年数学演習①多項式と単項式の乗除 2020/05/12

連絡確認方法のアンケート

休業の長期化に備え、学校からの連絡の受け取り方法を確認するためのアンケートです。ご協力お願いします。

アンケートは、こちら